«...ЛЕТ НАЗАД»
225
1778
Этот малораспространенный
элемент (молибден) хронологически открыт рано.
Название происходит от греческих наименований
минерала свинцовый блеск («молибден») и свинца
(«молибдос»). Они похожи друг на друга и еще на
один минерал, известный как молибденовый блеск,
или молибденит (сульфид молибдена). В 1754 г.
А.Кронштедт (Швеция) пришел к выводу об
индивидуальности сульфида молибдена. Его
соотечественник К.Шееле в 1778 г. обработал
молибденит крепкой азотной кислотой и получил
объемистую белую «землю». Про- калив ее, Шееле
приготовил оксид молибдена – нового, по его
мнению, химического элемента. В достаточно
чистом виде (восстановлением оксида водородом)
металл был получен в 1817 г. Й.Берцелиусом.
Уравнения реакций:

1803
У.Волластон
(Англия) открыл второй (после платины) металл
платинового семейства. Добавив к раствору сырой
(неочищенной) платины в царской водке цианид
ртути, Волластон получил желтый осадок. В
результате нагревания его с серой и бурой
образовывались блестящие металлические шарики.
Уравнения реакций:

Металл получил название «палладий» (в честь
открытия в 1802 г. астрономом У.Ольберсом астероида
Паллады).
Й.Берцелиус, В.Хизингер (Швеция) и М.Клапрот
(Германия) из минерала тунгстена (считавшегося
силикатом железа и кальция) выделили оксид
элемента, по химическим свойствам очень похожего
на иттрий. Это был редкоземельный металл церий.
Название предложили шведские исследователи (в
честь астероида Цереры, открытого в 1801 г.
астрономом А.Пьяцци). Клапрот обнаружил новую
«редкую землю» независимо, но в спор о приоритете
не вступил, поэтому открытие церия исторически
связывают с именами трех авторов. Минерал же был
переименован в церит.
Дж.Дальтон (Англия) сформулировал
(согласно его дневниковой записи от 6 сентября 1803
г.) основные положения химической атомистики. Их
суть сводилась к следующему:
1) Материя состоит из мельчайших первичных
частиц, или атомов.
2) Атомы неделимы и не могут создаваться или
разрушаться.
3) Все атомы данного элемента одинаковы и имеют
один и тот же неизменный вес.
4) Атомы разных элементов обладают разным весом.
5) Частицы или соединения сформированы из
определенного числа атомов состоящих из них
элементов.
6) Вес сложной частицы представляет сумму весов
составляющих ее атомов.
В октябре 1803 г. Дальтон стал пользоваться
обозначениями атомов элементов в виде кружков (с
различными фигурами внутри).
И.Риттер (Германия) изобрел «сухую»
гальваническую батарею.
Ш.Дерсон (Германия) выделил из опия
морфин.
1828
Ф.Велер
(Германия) получил мочевину изомеризацией
цианата аммония:

Этот процесс считается первой попыткой
искусственного синтеза природного
органического соединения из неорганического.
Й.Берцелиус (Швеция) открыл торий. Он
выделил оксид элемента из минерала,
обнаруженного на острове Левен (у берегов
Норвегии). Элемент получил название торий (в
честь Тора – древнескандинавского
бога-громовержца). Сам минерал стал именоваться
торитом. Металл удалось приготовить только в 1870-х
гг. Торий стал вторым после урана радиоактивным
элементом, открытым вне связи с явлением
радиоактивности обычным химико-аналитическим
методом.
1853
Г.Гельмгольц (Германия) ввел
термин «двойной электрический слой» для
обозначения границы двух различных металлов.
Ученый рассматривал слой как плоский
конденсатор. Используя понятия
электростатической теории, Гельмгольц установил
зависимость между такими параметрами «двойного
слоя», как разность потенциалов, плотность
зарядов и расстояние между ними. Представление о
«двойном электрическом слое» впоследствии
сыграло важнейшую роль в развитии теоретической
электрохимии.
В.Гитторф (Германия) ввел в электрохимию
понятие «число переноса», которое
характеризовало долю количества электричества,
переносимую данным ионом и равную отношению
скорости движения этого иона к сумме скоростей
движения всех ионов. Ученый измерил «числа
переноса» для многих ионов, изучил зависимость
этого параметра от плотности тока, температуры и
концентрации растворов. Метод измерения чисел
переноса и сейчас остается точным методом
количественной электрохимии.
Ю.Томсен (Дания) сформулировал правило,
согласно которому всякий простой или сложный
химический процесс сопровождается тепловым
эффектом и в системе взаимодействующих веществ
наиболее вероятен тот процесс, который протекает
с наибольшим выделением теплоты.
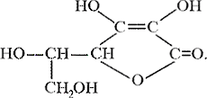
Р.Бунзен (Германия) усовершенствовал
метод йодометрического титрования: к
испытуемому образцу добавлял соляную кислоту,
выделяющийся хлор поглощал раствором йодида
калия и образующийся раствор титровал
стандартным раствором сернистой кислоты.
Г.Шварц (Германия) впервые применил
тиосульфат для титрования йода.
К.Мор (Германия) существенно
усовершенствовал технику титрометрических
измерений (сконструировал бюретку, зажим,
пипетку, весы, носящие его имя).
О.Каур (Франция) синтезировал какодил,
доказав, что он является диметиларсином:
(CH3)2As–As(CH3)2.
какодил
С.Канниццаро (Италия) действием
гидроксида калия на бензальдегид получил
бензиловый спирт. Он впервые наблюдал факт
окислительно-восстановительного
диспропорционирования ароматических альдегидов
– окисление одной молекулы альдегида за счет
восстановления другой в щелочной среде (реакция
Канниццаро):

1878
Ш.Мариньяк
отделил от эрбия новую «редкую землю»,
которую назвал «иттербиевой». Но в 1879 г.
оказалось, что она находится в смеси с оксидом
скандия (элемента, в 1870 г. предсказанного
Д.И.Менделеевым под названием «экабор»). Тем не
менее датой открытия иттербия считается 1878 г.
Дж.Гиббс (США) – один из
основоположников химической термодинамики –
завершил разработку теории термодинамических
потенциалов (в частности, изучил условия
равновесия гетерогенных систем и сформулировал
так называемое правило фаз). Он предложил
графическое изображение состояния
трехкомпонентной системы (треугольник Гиббса).
Ф.Рауль (Франция) установил зависимость
между давлением пара водных растворов,
температурами их замерзания и молекулярными
массами растворенных веществ.
В.Мейер (Германия) разработал метод
измерения плотности паров, названный его именем.
Ф.Кекуле и А.Френшимон (Германия)
нагреванием бензоата калия синтезировали
антрахинон:

1903
Э.Резерфорд
и Ф.Содди (Англия) разработали
теорию радиоактивного распада и выразили закон
распада в математической форме:

где N0 – число радиоактивных ядер в
начальный момент времени, Nt – число
ядер изотопа в момент времени t, – радиоактивная
постоянная.
У.Рамзай и Ф.Содди (Англия)
обнаружили естественную превращаемость
радиоактивных элементов, установив, что при
радиоактивном распаде радона и радия образуется
гелий:
222Rn = 218Po + 4He,
226Ra = 222Rn + 4He.
М.С.Цвет (Россия) заложил основные
принципы адсорбционного хроматографического
анализа и разработал важнейшие основы
хроматографического метода разделения и анализа
смесей.
П.Сили (Венгрия), исследуя сыворотки
крови, пришел к выводу, что можно приготовлять
растворы с небольшой, но постоянной
концентрацией ионов водорода. Исходя из
соотношений:
H2O H+ + OH– и CH+
= COH– = 10–7,
концентрацию гидроксил-ионов можно было найти,
разделив 10–14 на концентрацию ионов водорода.
Сили ввел в аналитическую химию представление о
буферных растворах.
Д.Форлендер (Германия) впервые провел
титрование в неводных средах (титровал анилин
хлороводородом, растворенным в бензоле).
Ф.Кюстер и М.Грютерс (Германия)
разработали основы метода кондуктометрического
титрования.
В.Нернст и Э.Ризенфельд (Германия)
разработали метод термогравиметрии.
М.Леблан (Франция) применил переменный
ток для изучения кинетики электрохимических
процессов.
С.Серенсен (Дания) разработал общий
метод синтеза аминокислот и метод
количественного определения аминного азота.
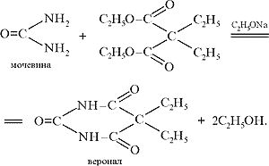
Э.Г.Фишер (Германия) синтезировал
диэтилбарбитуровую кислоту – первое снотворное
средство (веронал):

Л.Буво и Г.Блан (Франция)
осуществили реакцию получения первичных спиртов
восстановлением сложных эфиров металлическим
натрием в диэтиловом эфире:

В.Н.Ипатьев (Россия) показал, что оксид
алюминия – один из лучших катализаторов
дегидратации спиртов для получения этиленовых
углеводородов, в том числе бутадиена-1,3:

1928
И.
и В.Ноддаки (Германия) в результате
переработки молибденового блеска получили
первый грамм рения. Это событие по существу
означало окончательное открытие элемента № 75 –
последнего по времени обнаружения стабильного
элемента на Земле.
Д.Хартри (Англия) разработал
приближенный метод квантовомеханических
расчетов – так называемый метод согласованного
поля. Позднее его развил В.А.Фок (Россия).
Л.Полинг (США) сформулировал основные
положения теории резонанса, а также ввел понятие
электроотрицательности.
Г.Бек (Австрия) выдвинул идею об
оболочечном строении атомных ядер.
Л.Онсагер (США), развивая теорию сильных
электролитов П.Дебая и Э.Хюккеля (1923),
вывел уравнения, лежащие в основе теории
проводимости разбавленных растворов
электролитов. Определил истинную степень
диссоциации сильных электролитов.
В.Гольдшмидт (Норвегия) разработал
систему расчета атомных радиусов металлов.
Б.Левис и Г.Шумахер (Германия)
синтезировали оксид брома BrO2.
П.П.Федотьев (СССР) разработал
электролитический способ получения никеля и
кобальта.
П.А.Ребиндер (СССР) открыл эффект
понижения прочности твердых тел в результате
физико-химического воздействия определенных
сред (эффект Ребиндера).
О.Дильс и К.Альдер (Германия)
открыли одну из важнейших реакций современной
органической химии – 1,4-присоединение молекул с
активированной кратной связью (диенофилов) к
сопряженным диенам, что приводит к образованию
циклических структур – так называемый диеновый
синтез:

Дж.Барджер (США) синтезировал метионин
– СН3SСН2СН2CH(NH2)COOH.
А.Флеминг (Англия) обнаружил
антибактериальные свойства вещества,
выделенного из особой плесени. Вещество было
названо пенициллином:

А.Сцент-Дьерди (Венгрия) выделил
чистый витамин С (аскорбиновую кислоту):

1953
Дж.Уотсон
и Ф.Крик (США) построили модель
молекулы дезоксирибонуклеиновой кислоты (ДНК).
Еще в 1944 г. О.Эвери, К.Мак-Леод и М.Мак-Карти
(США) пришли к выводу, что ДНК может являться
носителем генетической информации. Крик и Уотсон
определили, что молекула ДНК состоит из двух
цепей, закрученных одна вокруг другой (двойная
спираль). Так были заложены основы молекулярной
генетики.
Дж.Кендрю (Англия) впервые применил
рентгеноструктурный анализ для исследования
миоглобина. Обработав результаты анализов на
ЭВМ, Кендрю впо- следствии расшифровал строение
молекулы миоглобина и построил ее модель
(состоящую почти из 2600 атомов).
Г.К.Боресков (СССР), изучая различные
каталитические процессы, условия их проведения,
кинетические параметры реакции, структуры и
размеры зерен катализаторов, установил принципы
зависимости удельной поверхности катализаторов
от их химического состава. Это стало
плодотворной попыткой создания научных основ
приготовления катализаторов.
Л.Ружичка (Швейцария) сформулировал так
называемое изопреновое правило, в соответствии с
которым изопреновый скелет является
гомологической разницей в ряду всех терпенов, а
также многих витаминов и гормонов.
Д.НИКОЛАЕВ |