Колосов Михаил Николаевич

11.V.1927, Курcк –
26.II.1985, Кисловодск
В годы Великой Отечественной войны семья Колосовых оказалась на Урале, поэтому среднюю школу он оканчивал в пос. Нижние Серчи Свердловской обл. (1943). Затем поступил в Уральский индустриальный институт им. С.М.Кирова (Свердловск, ныне Екатеринбург). В 1944–1948 гг. – студент Московского института тонкой химической технологии им. М.В.Ломоносова (МИТХТ). Свою дипломную работу, посвященную исследованиям в области химии алкалоида пилокарпина, он выполнял на кафедре химии и технологии лекарственных веществ, где и остался в аспирантуре (руководитель – профессор Н.А.Преображенский). Будучи аспирантом (1948–1951), он осуществил синтезы ряда аналогов индольного алкалоида эзерина, получил метилуретаны производных 1-метил-5-гидроксииндолинов. В 1952 г. ему была присуждена ученая степень кандидата химических наук за диссертацию «Синтез эзериноподобных соединений».
В 1951 г. Колосов начал работать в Институте биологической и медицинской химии Академии медицинских наук СССР (АМН, Москва) в лаборатории химии антибиотиков, которой тогда руководил академик М.М.Шемякин. В 1959 г. Колосов – старший научный сотрудник Института органической химии (ИОХ) им. Н.Д.Зелинского АН СССР. В том же году по инициативе вице-президента АН СССР академика Н.Н.Семенова был создан Институт химии природных соединений АН СССР* и Колосов перешел в штат его сотрудников вслед за Шемякиным. В ИХПС им была защищена докторская диссертация на тему «Исследования в области тетрациклинов». С 1965 г. до самой смерти он заведовал лабораторией химии продуктов микробного синтеза ИХПС (с 1972 г. – лаборатория химии генов). В 1966–1975 гг. он был также заведующим отделом инструментальных методов анализа Института биохимии и физиологии микроорганизмов АН СССР.
В 1966 г. Колосов был избран членом-корреспондентом Академии наук СССР, в 1967 г. ему было присвоено звание профессора. В 1974 г. его избирают действительным членом Академии наук СССР.
Как уже упоминалось, после окончания аспирантуры Колосов начал работать в области химии антибиотиков в тесном контакте с Шемякиным. Плодотворное сотрудничество двух ученых продолжалось длительное время, около 20 лет. В начале своей научно-исследовательской деятельности в этом направлении ученый занимался изучением взаимосвязи между структурой и функцией антибиотика левомицетина (хлорамфеникол). Им (совместно с Шемякиным) был разработан метод получения оптически активных аналогов этого антибиотика, проведены биологические исследования таких препаратов для выявления структурных элементов, ответственных за проявление антибиотической активности. Одновременно проводилось изучение влияния этого антибиотика и его аналогов на синтез белка в одной из бесклеточных систем.
Во второй половине 1950-х гг. Колосов (совместно с М.М.Шемякиным и А.И.Гуревичем) занялся изучением тетрациклинов – важной группы антибиотиков широкого спектра действия.
Работа в этом направлении оказалась очень сложной: она «требовала фундаментального подхода и виртуозной техники эксперимента». Выдающийся химик, лауреат Нобелевской премии Р.Б.Вудворд отмечал, что тетрациклины являют собой «дьявольское переплетение реакционноспособных группировок»:

Для осуществления этого синтеза на первом этапе работы были разработаны совершенно новые методы построения функционально нагруженного цикла А (множественные стереохимические трудности), а также решены иные синтетические проблемы. На следующем этапе исследования Колосов и сотрудники выполнили построение трициклической DСВ-системы тетрациклинов. В процессе этих исследований ученым были изучены различные превращения природных тетрациклинов и их синтетических аналогов, открыты их реакции изомеризации и пр. В результате в 1966 г. Колосовым впервые в мире был осуществлен полный синтез одного из представителей антибиотиков тетрациклинового ряда – тетрациклина.
И лишь несколькими годами позже Вудворд синтезировал другой представитель этого ряда – террамицин (5-гидрокситетрациклин).
В исследовании тетрациклинов Колосов проявлял интерес не только к методам их синтеза, но и к изучению их стереохимии. Им была установлена конфигурация всей группы тетрациклиновых антибиотиков.

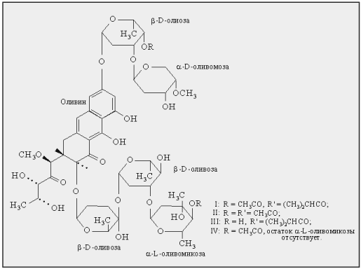
Большой цикл исследований ученого был посвящен изучению противоопухолевого антибиотика оливомицина, открытого в 1962 г. во Всесоюзном научно-исследовательском институте по изысканию новых антибиотиков АМН СССР (Г.Г.Гаузе и М.Г.Бражникова). Под руководством Колосова были проведены обширные структурные исследования оливомицинов А, В, С и D (подобно многим другим антибиотикам оливомицин продуцируется в виде смеси нескольких близкородственных веществ, которые разделяют хроматографически) и доказано их строение – для них установлены структуры I–IV:
Развивая работы по антибиотикам, родственным оливомицинам, Колосов обратился к изучению родоначального вещества этой группы – ауреоловой кислоты (митрамицин):
Им были установлены структура и конфигурация всех антибиотиков этой группы и исследованы некоторые зависимости между их строением и антибактериальными, противоопухолевыми и токсическими свойствами. С использованием широкого спектра экспериментальных методов исследований было также показано, что существует глубокое сходство в путях биосинтеза антибиотиков группы ауреоловой кислоты, с одной стороны, и группы тетрациклина – с другой.
К числу изученных Колосовым противовирусных веществ принадлежит также абиковиромицин (латумцидин), влияющий на подавление ряда вирусов и обладающий интересной в химическом отношении структурой (необычная пиридиновая структура). Трудность работы с этим соединением заключалась в его чрезвычайной лабильности: он быстро полимеризовался даже при температуре –55 °С, но в разбавленных растворах в виде солей был достаточно устойчив.
Важным достижением в работах Колосова стало выделение нового противоопухолевого вещества – реумицина. Ученый разработал оригинальный способ его производства, подробно изучил структуру и биологические функции.

В конце 1960-х гг. Колосов заинтересовался растительными объектами. Его внимание привлекли такие всем известные лекарственные травы, как зверобой и шалфей, популярные в народной медицине. Изучение экстрактов наземных частей этих растений показало их антибактериальную активность, в особенности против бактерий рода Staphylococcus. В частности, из шалфея было выделено два соединения с антимикробными свойствами: давно известный сальвин (карназоловая кислота), а также неизвестное соединение – простой метиловый эфир сальвина. Как было показано в экспериментальных работах, именно последний обусловливает противовоспалительное действие отваров шалфея. Из зверобоя удалось выделить вещество с крайне сложной структурой, обладающее антимикробным действием, которое ученый назвал гиперфорином. Уникальная мостиковая структура гиперфорина, доказанная исследованиями Колосова, была через несколько лет однозначно подтверждена рентгеноструктурными исследованиями норвежских ученых.
В начале 1970-х гг. наряду с изучением гиперфорина Колосов начал изучать другое сложное природное соединение – антибиотик альбофунгин (был открыт сотрудниками Всесоюзного научно-исследовательского института по изысканию новых антибиотиков АМН СССР Н.К.Соловьевым и С.М.Рудой). Этот антибиотик обладал высокой активностью против грамположительных бактерий и грибов. Уже в 1972–1974 гг. структура антибиотика была установлена Колосовым как семичленная конденсированная гетероциклическая система. В то время аналогичные ей соединения среди природных веществ еще не были известны. Вот как оценивают эту работу Ю.А.Берлин и В.Г.Коробко: «По научному подходу и виртуозности исполнения проведенное исследование вполне может считаться классическим». Лишь в конце 1970-х гг. был впервые описан природный аналог альбофунгина – лизолипин, строение которого удалось выяснить только с помощью рентгеноструктурного анализа.
Однако уже в начале 1970-х гг. Колосов частично поменял направление своих исследований: ученый начал исследования в области химико-ферментативного синтеза нуклеиновых кислот. Им были разработаны новые методы синтеза и структурного анализа полидезоксинуклеотидов, выделены промоторные участки дезоксирибонуклеиновой кислоты (ДНК) и завершен синтез структурного гена валиновой транспортной рибонуклеиновой кислоты (т-РНК). Причем работа по синтезу гена валиновой т-РНК вследствие высокой трудоемкости заняла более 10 лет (завершена в 1982 г.).
В результате серии этих исследований ученый разработал исследовательскую базу для изучения и получения искусственных генетических структур. Крупным успехом лаборатории Колосова было осуществление полного синтеза искусственного структурного гена лейкоцитарного a2-интерферона человека (совместно со Всесоюзным научно-исследовательским институтом молекулярной биологии Минмедпрома СССР) – ценного медицинского препарата. В процессе этой работы Колосов предложил оригинальные методики сборки протяженных последовательностей ДНК. За эти исследования ученый в соавторстве с другими учеными был удостоен Ленинской премии.
Помимо научной деятельности Колосов также много внимания уделял научно-организаторской. С 1964 г. он состоял членом, а затем заместителем председателя бюро научного совета по химии природных и биологически важных соединений АН СССР; в 1974–1985 гг. – членом бюро Междуведомственного научно-технического совета по проблемам молекулярной биологии и молекулярной генетики при ГКНТ СССР и президиуме АН СССР, а также заместителем председателя Научного совета по проблеме «Антибиотики» при тех же учреждениях (1978–1985). Он был членом редколлегий журналов: «Химия природных соединений», «Биохимия», «Молекулярная биология», «Биоорганическая химия» (заместитель главного редактора, 1975–1985).
Заслуги Колосова отмечены орденом Трудового Красного Знамени (1975) и орденом Октябрьской Революции (1981). В 1983 г. Академией наук СССР ему была присуждена премия им. М.М.Шемякина за цикл работ по теме «Синтез искусственных генов» (исследования 1977–1981 гг. совместно с В.Н.Добрыниным и В.Г.Коробко). В 1984 г. он стал лауреатом Ленинской премии.
Библиография: Материалы к
биобиблиографии ученых. Михаил Николаевич
Колосов (1927–1985). Сер. биохимии, вып. 13. М.: Наука,
1995, 64 с.;
Академику М.Н.Колосову – 50 лет. Вестн. АН СССР,
1977, № 9, с. 127;
Институт химии природных соединений. 1959–1969.
Отв. ред. М.М.Шемякин. М.: Наука, 1969, 82 с.
___________________________
*ИХПС АН СССР, с 1974 г. – Институт биоорганической химии им. М.М.Шемякина АН СССР,
а с 1992 г. – Институт биоорганической химии им. М.М.Шемякина и Ю.А.Овчинникова РАН.